socp
Syntax
socp(f, [G], [h], [l], [q], [A], [b])
Parameters
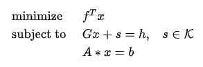
Second-order cone programming (SOCP) problems are subject to the constraint with the following form:
K is a cone and s is a slack variable. The value of s will be determined during optimization.
f is a numeric vector indicating the coefficient vector of the objective function.
G (optional) is a numeric matrix indicating the coefficient matrix of the cone constraint.
h (optional) is a numeric vector indicating the right-hand-side vector of the cone constraint.
l (optional) is an integral scalar indicating the dimension of the non-negative quadrant constraint.
q (optional) is a positive vector indicating the dimension size of each second-order cone constraint. The form is [r0,r1,…,rN-1].
A (optional) is a numeric matrix indicating the coefficient matrix of the equality constraint.
b (optional) is a numeric vector indicating the right-hand-side vector of the equality constraint.
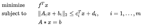
Details
Solve SOCP problems and calculate the minimum of the objective function under specified constraints. The standard form of the SOCP constraint is as follows:
G is as follows:
h is as follows:
Returns
A 4-element tuple:
- The first element is a string indicating the state of the solution:
- The second element is the value of x where the value of the objective function is minimized.
- The third element is the minimum value of the objective function.
- The fourth element is the exit code that indicates the quality of the returned solution.
The correspondence between Exicode and status descriptions is shown in the following table:
| Exitcode | Description |
|---|---|
| 0 | Optimal solution found |
| 1 | Certificate of primal infeasibility found |
| 2 | Certificate of dual infeasibility found |
| 10 | Optimal solution found subject to reduced tolerances |
| 11 | Certificate of primal infeasibility found subject to reduced tolerances |
| 12 | Certificate of dual infeasibility found subject to reduced tolerances |
| -1 | Maximum number of iterations reached |
| -2 | Numerical problems (unreliable search direction) |
| -3 | Numerical problems (slacks or multipliers outside cone) |
| -7 | Unknown problem in solver |
Examples
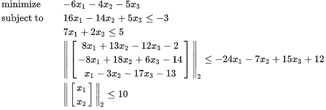
Solve the following SOCP problem:
f = [-6, -4, -5]
G = matrix([[16, 7, 24, -8, 8, -1, 0, -1, 0],
[-14, 2, 7, -13, -18, 3, 0, 0, -1],
[5, 0, -15, 12, -6, 17, 0, 0, 0]])
h = [-3, 5, 12, -2, -14, -13, 10, 0, 0]
l = 2
q = [4,3]
re = socp(f,G,h,l,q, ,)
print(re)
// output: ("Problem solved to optimality",[-9.902804882871327,-1.39084684264198,26.211851780740154],-66.079042235904907)
