mahalanobis
First introduced in version: 3.00.5, 3.00.4.3
Syntax
mahalanobis(X, Y, Z)
Details
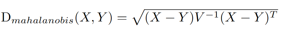
Compute the Mahalanobis distance between two numeric vectors (X and Y). The distance is defined as follows:
where V is the covariance matrix, and Z is the inverse of V.
Parameters
X: A numeric vector.
Y: A numeric vector.
Z: The inverse of the covariance matrix.
Returns
A scalar of type DOUBLE.
Examples
len = 50
X = array(DOUBLE, 0).append!(take([1.2, 3.9, 0.8], len))
Y = array(DOUBLE, 0).append!(take([5.6, 0.4, 2.7], len))
Z1 = diag(take(1, len)) Z = inverse(Z1)
mahalanobis(X, Y, Z)
//Output: 24.395286429964294
Related functions
