skew
Syntax
skew(X, [biased=true])
Arguments
X is a vector/matrix.
biased (optional) is a Boolean value indicating whether the result is biased. The default value is true, meaning the bias is not corrected.
Details
Return the skewness of X. The calculation skips null values.
The calculation uses the following formulas in different cases:
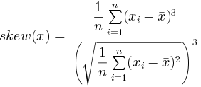
When biased=true:

When biased=false:

If X is a matrix, calculate the skewness of each column of X and return a vector.
If X is a table, calculate the skewness of each column of X and return a table.
The skew function also supports querying partitioned tables and
distributed tables with bias correction.
Examples
Please note that as the example below uses a random number generator, the result is slightly different each time it is executed.
x=norm(0, 1, 1000000);
skew(x);
// output: -0.00124
x[0]=100;
skew(x);
// output: 0.983656
m=matrix(1..10, 1 2 3 4 5 6 7 8 9 100);
m;
| #0 | #1 |
|---|---|
| 1 | 1 |
| 2 | 2 |
| 3 | 3 |
| 4 | 4 |
| 5 | 5 |
| 6 | 6 |
| 7 | 7 |
| 8 | 8 |
| 9 | 9 |
| 10 | 100 |
skew(m);
// output: [0,2.630083823883674]
