rowKurtosis
Syntax
rowKurtosis(X, [biased=true])
Please see rowFunctions for the parameters and calculation rules.
Arguments
biased (optional) is a Boolean value, indicating whether the result is biased. The default value is true, meaning the bias is not corrected.
Details
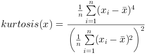
Return the kurtosis of each row in X.
The calculation uses the following formula when biased=true:

Examples
m = [4.5 2.6 1.5 1.5 4.8, 5.9 4.9 2.0 4.0 6.3, 2 2 2 2 2, 2.1 3.4 4.2 5.5 2.3]
rowKurtosis(m);
// output: [1.336589711715856,1.839333299961742,2.248755164221374,1.437834622248661,1.341044189891083]
m=matrix([4.5 2.6 1.5, 1.5 4.8 5.9, 4.9 2.0 NULL, 4.3 NULL 3.5]);
rowKurtosis(m);
// output: [2.270290894661423,1.499999999999941,1.499999999999972]
t1=table(1..5 as x, 10..6 as y, 15..19 as z, take(3,5) as t);
rowKurtosis(t1);
// output: [1.417974225003112,1.676864,1.951167883478534,2.158698670898631,2.262015004030008]
Related function: kurtosis
