rowSkew
语法
rowSkew(X, [biased=true])
row 系列函数通用参数说明和计算规则请参考:rowFunctions
参数
biased 是一个布尔值,表示是否为有偏估计。默认值为 true,表示为有偏估计。
详情
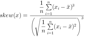
逐行计算 X 的斜度。
DolphinDB 使用以下公式计算倾斜度(当 biased=true 时):

例子
m = [4.5 2.6 1.5 1.5 4.8, 5.9 4.9 2.0 4.0 6.3, 2 2 2 2 2]
rowSkew(m);
# output
[-0.329206341655613,0.586870565935934,-0.707106781186563,0.595170064139497,-0.350377619697706]
m=matrix([4.5 2.6 1.5, 1.5 4.8 5.9, 4.9 2.0 NULL, 4.3 NULL 3.5]);
rowSkew(m);
# output
[-1.064430070205901,0.577633692366209,0.110780117654846]
t1=table(1..5 as x, 10..6 as y, take(3, 5) as z);
rowSkew(t1);
# output
[0.567316577993729,0.652012117044047,0.707106781186548,0.528004979218188,-0.381801774160629]
相关函数:skew
